
如圖所示, 一直搞不清楚地線和零線的原理, 地線的兩端分別是什么,保護中性線的兩端是什么。漏電流為什么走的地線而回線的電流不走地線。快搞暈了……圖中都是我自己標注的,可能有錯誤。
這個問題挺好,好在兩處:第一,標題好,直接切入主題;第二,對保護中性線錯誤的認識表述很到位,的確是許多人的認知盲區。零線的準確名稱是保護中性線。
先說答案:題主的主題本身就是錯的。要知道,保護中性線是中性線與地線的合并線,保護中性線包括了地線功能在內。
現在,我來回答問題。
我們看圖1

注意到圖1中還未出現保護中性線,只有三條相線L1/L2/L3,以及三條相線的中性線N。三條相線對N線的電壓均為220V,相線之間的電壓則為380V。
我們知道,交流電壓的表達式為:
而交流電流的表達式為: 
注意到一個事實,當三相平衡時,中性線總線上的電壓和電流有如下特性:

在圖1中,具有此特性的只有標注了N字樣的中性線總線,而中性線支線是不具有此特性的。
對于中性線支線來說,流過中性線的電流與相線電流大小相等方向相反。
我們再來看圖1。圖1中的中性線發生了斷裂,于是在斷裂點的前方,中性線的電壓依舊為零,但斷裂點的后方若三相平衡時,它的電壓為零;但若三相不平衡,則斷裂點后方的中性線電壓會上升,最高會升到相電壓。
事實上,我們發現,只要三相不平衡,盡管中性線并未斷裂,但中性線的電壓也會上升。

圖2中,在變壓器的中性點做了接地,此接地在國家標準和規范中,被稱為系統接地。注意,這里的接地符號是接大地的意思。系統接地的意義有兩個:
第一個意義:系統接地使得變壓器的中性線的電位被強制性地鉗制在大地的零點位;
第二個意義:給系統的接地電流提供了一條通道;值得注意的是:圖2中的N線因為有了工作接地,所以它的符號也變了,變成PEN,也就是題主主題中的保護中性線。保護中性線在這里,保護優先于中性線功能。通過前面的論述我們已經知道,若保護中性線斷裂,由于保護性中性線具有中性線功能,所以斷裂點后部的保護性中性線電壓可能會上升。
事實上,保護性中性線斷裂點后部的由電壓完全由下式決定:

可以看出,如果
和
各不相同,則三相電壓就不平衡,保護性中性線電壓
當然也不等于零。
同理,我們可以看到保護性中性線斷裂點后部的電流也與三相不平衡有關.
再看圖3,我們發現保護性中性線PEN中采取多點接地的方法,以避免出現保護性中性線斷裂點后部電壓上升的情況。
注意哦,圖2對應的接地系統叫做TN-C,而圖3對應的接地系統叫做TN-C-S。
現在,我們可以回答題主的問題了。
我們來看圖4

零線的準確名稱是保護中性線
圖4中,變壓器中性點接地,而用電設備的外殼直接接地。
正常運行時,我們看到,用電設備的外殼根本就不會有任何電流流過。現在,我們來分析L3相對用電設備的外殼發生碰殼事故的情況。
我們首先遇見的是外殼接地電阻有多大這個基礎參數。在國家標準GB50054《低壓配電設計規范》中,把外殼接地后的電阻以及地網電阻合并叫做接地極電阻,并規定它的值不得大于4歐。但在工程上,一般認為接地極電阻為0.8歐。
其次,我們需要知道保護性中性線電纜的電阻是多少。這個值可以根據具體線路參數來考慮。方便起見,不妨先規定這條保護性中性線電纜的長度是100米,電纜芯線截面是16平方毫米,它的工作溫度是30攝氏度,則它的電阻為:

有了這兩個數據,我們就可以來進行實際計算了。
我們看圖4的下圖,我們發現當L3相對用電設備的外殼短路時,保護性中性線中有電流流過,地網中也有電流流過。
注意到保護性中性線電阻和地網電阻其實是并聯的,按照中學的電學物理知識,我們知道并聯電路的電流與電阻的阻值成反比,也即:

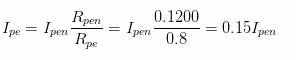
由式1我們看到,地網電流與保護性中性線電阻和地網電阻的比值有關。我們把接地極電阻按4歐取值,把具體參數代入,得到地網電流為:

即便我們按工程慣例接地極電阻取為0.8歐,得到地網電流為:

也就是說,地網電流只相當于保護性中性線電流的3%~15%而已!我們取為中間值,則地網電流只有保護性中性線電流的6%。

零線的準確名稱是保護中性線
至此,我們已經回答了題主的問題。
用電設備的外殼發生碰殼故障后,地網電流如此之小,與保護性中性線電流相比,幾乎可以忽略不計,那么用電設備的外殼帶電將長期存在。如此一來,必然會出現人身傷害事故。
那么,在實際接線中,我們是如何來保護人身安全的?
提示:這個問題的涉及面有點廣,與低壓配電網的接地形式有關,與用電設備的保護接零及保護接地有關,與TN-C系統下到底采用斷路器保護還是采用漏電開關保護也有關。
解答:從以上描述中我們看到,當發生單相接地故障時,地網電流很小,根本不足以推動斷路器或者熔斷器執行保護。怎么辦呢?
國際電工委員會IEC提出了解決方案,這就是接地系統。
在具體描述之前,我們先明確幾個概念:
第一個概念,什么叫做系統接地或者工作接地?
系統接地(工作接地))指的是電力變壓器中性點接地,用T來表示,沒有就用I來表示。
第二個概念,什么叫做保護接地?
保護接地指的是用電設備的外殼直接接地,用T表示。若外殼接到來自電源的保護性中性線或者地線,則用N表示。
第三個概念,什么叫做接地形式?
接地形式有三種,分別是TN、TT和IT。TN下又分為TN-C、TN-S和TN-C-S。
知曉這幾個概念后,我們來看看IEC給出的有關TN-C和TT系統的原圖。注意,這兩幅圖是不容置疑的,是有關接地系統的權威解釋。
第一幅圖:TN-C接地系統和TN-S系統

零線的準確名稱是保護中性線
由于電路中有系統接地,但負載外殼沒有直接接地,而是通過保護性中性線PEN間接接地,所以該接地系統叫做TN-C。
圖中左上角就是變壓器低壓側繞組,我們看到它引出了三條相線L1/L2/L3和一條PEN保護性中性線。注意到保護性中性線的左側有兩次接地,第一次在變壓器的中性點,這叫做系統接地,第二次在中間某處,叫做重復接地。重復接地的意義就是防止保護性中性線斷裂后其后部保護性中性線的電壓上升。
值得注意的是負載。我們看到中間的負載PEN首先引到外殼,然后再引到保護性中性線接線端子。這說明,保護性中性線PEN是保護優先的。也因此,
第二幅圖:TN-C-S接地系統

TN-C-S區別于TN-C,就在于PEN在重復接地后分開為N中性線和PE保護線。
注意到TN-C-S的-S側負載的外殼是接在PE線上的,而TN-C-S的-C側則是接在PEN線上,因此前者是保護接地,后者是保護接零。兩者相比,保護性中性線不能中斷,而PE線同樣也不能中斷。
在居家配電系統和學校、企事業單位配電系統中,TN-C-S非常普遍。
第三幅圖:TT接地系統
從符號代碼看,TT接地系統有系統接地,但它的保護接地采取直接接地的方式實現的。

TT接地系統變壓器的中性點直接接地,而用電負載的外殼也獨立直接接地。構成保護接地。
值得注意的是:我們在前面已經描述過了,當發生單相接地故障時,流經地網的電流實際上只有N線電流的6%左右。因此,TT系統下發生的單相接地故障電流相對TN要小得多。
現在我們來對比TN系統和TT系統的異同點:
1.對于TN系統和TT系統來說,由于首字母都是T,說明這兩個系統都有系統接地;
2.由于TN系統的N線與PE線在系統接地處或者重復接地處是連在一起的,PEN則完全合并在一起,而用電設備的外殼直接與PE或者PEN連在一起,因此發生單相接地故障時,故障電流會比較大,近似于相線對N線的短路。所以,TN系統又叫做大電流接地系統;
TT的系統接地與保護接地完全獨立,單相接地故障電流要返回電源,必須通過地網,并且電流較小。所以,TT系統又叫做小電流接地系統。
有了接地系統的解釋,我們就可以回答問題了。
1.需要適當地放大接地電流
適當地放大接地電流,使得用電設備的前接斷路器可以執行過電流保護操作,這就是具有大接地電流的TN系統。
2.加裝漏電保護裝置RCD。
我們來看圖5:

圖5中,我們看到變壓器的中性點直接接地,然后分開為N和PE,并且PE一直延伸到負載側并接到用電設備的外殼上。所以,此接地方式屬于TN-S接地系統。
當用電設備發生碰殼事故后,PE線的電阻當然小于地網電阻,并且PE的最前端還與N線相連,接地電流被放大到接近相對N的短路電流,則距離用電設備最近的上游斷路器會執行過電流跳閘保護。
圖5中,我們還看到從二級配電用四芯電纜引了三條相線和N線到負載側,PE線被切斷了,而用電設備的外殼直接接地。于是當用電設備發生碰殼事故后,接地電流只能通過地網返回電源。此接地方式屬于TN-S下的TT接地系統。
由于TT下通過地網的接地電流很小,所以IEC和國家標準都規定了必須安裝漏電保護裝置RCD。
RCD的原理如下:

未發生單相接地故障時,三相電流合并N線電流后的相量和為零。當發生漏電后,某相電流會增加,并且漏電流經過地網返回電源,則N線電流依然與先前一致。于是,零序電流互感器的磁路中會出現磁通,其測量繞組中當然會出現電流,并驅動檢測和控制部件使得前接斷路器執行漏電保護動作。








